Greedy Algoritması, özellikle optimizasyon problemlerinde “en kısa yoldan en iyi sonuca” ulaşmak isteyenlerin sıkça karşılaştığı bir yöntem. Mantığı ilk bakışta çok basit: Her adımda o an için en mantıklı görünen seçimi yap ve yoluna devam et. Bu yaklaşım, kimi zaman şaşırtıcı derecede hızlı ve etkili sonuçlar verdiği için yazılım dünyasında oldukça popüler. Ama işin kritik tarafı şu: Greedy her zaman en doğru sonucu garanti etmez; yani “hızlı” olması, her problemde “en iyi” olduğu anlamına gelmez.
Greedy Algoritması Nedir?
Greedy Algoritması, Türkçe karşılığıyla açgözlü algoritma, optimizasyon problemlerini çözmek için kullanılan basit ve sezgisel bir algoritma tasarım tekniğidir. Bu yaklaşımda algoritma, her adımda o an için en iyi görünen seçimi yapar ve bu seçimin ileride nasıl sonuçlar doğuracağını dikkate almaz. Amaç, küçük ve yerel olarak optimal görünen kararları birleştirerek genel çözüme ulaşmaktır.
Greedy algoritmaları çoğunlukla optimizasyon problemleri için kullanılsa da, genel bir algoritma tasarım yaklaşımı olarak da değerlendirilir. Ancak her greedy çözümün mutlaka global optimum üretmediği unutulmamalıdır. Başlangıçta doğru gibi görünen seçimler, ilerleyen adımlarda yetersiz veya hatalı sonuçlara yol açabilir. Bu nedenle greedy yaklaşım her problem için uygun değildir.
Greedy algoritmalarında sıkça kullanılan yöntemler arasında şu klasik örnekler yer alır:
- Knapsack (Sırt Çantası) Problemi
- Kruskal Algoritması
- Prim Algoritması
- Huffman Kodlama
- Dijkstra Algoritması
Bu algoritmalar, greedy yaklaşımın doğru problemde kullanıldığında ne kadar etkili olabileceğini açıkça gösterir.
Greedy Algoritması Nasıl Oluşturulur?
Bir greedy algoritması oluştururken ilk adım, çözülmek istenen problemi net biçimde tanımlamaktır. Ardından problemde kullanılacak veri kümesi belirlenir ve genellikle bu küme belirli bir kritere göre sıralanır. Bu kriter; zaman, maliyet, ağırlık, mesafe veya değer gibi probleme özgü bir ölçüt olabilir.
Sıralama işleminden sonra algoritma, her adımda en avantajlı görünen elemanı seçer ve bu seçim tekrarlı biçimde devam eder. Süreç, çözüm tamamlanana kadar veya daha fazla seçim yapılamayana kadar sürer.
Örneğin, maksimum kazanç sağlayacak bir çanta doldurma problemi ele alındığında, ürünler değerlerine göre sıralanır ve çanta kapasitesi dolana kadar en değerli ürünler seçilir. Benzer şekilde, aktivite seçimi probleminde aktiviteler bitiş zamanlarına göre sıralanır ve en erken biten aktivite öncelikli olarak seçilir.
Bu yaklaşım; üretim planlaması, lojistik, zaman yönetimi ve kaynak dağıtımı gibi pek çok gerçek dünya probleminde yaygın olarak kullanılır.
Greedy Algoritması Örnekleri
Greedy algoritmalarının en bilinen örneklerinden biri Aktivite Seçimi Problemidir. Bu problemde amaç, birbiriyle çakışmayan en fazla sayıda aktiviteyi seçmektir. Algoritma, bitiş zamanı en erken olan aktiviteyi seçerek ilerler ve kalan aktiviteler üzerinde aynı işlemi tekrarlar.
Bir diğer önemli örnek Knapsack (Sırt Çantası) Problemidir. Greedy yaklaşım, özellikle parçalı (fractional) knapsack probleminde etkilidir. Bu problemde nesneler, değer/ağırlık oranına göre sıralanır ve çanta kapasitesi dolana kadar en kârlı nesneler seçilir. Ancak bu yaklaşım, 0-1 knapsack probleminde her zaman optimal sonuç vermez.
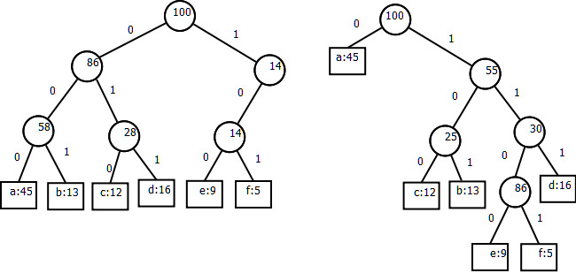
Huffman Kodlama da greedy algoritmalara iyi bir örnektir. Huffman algoritması, veri sıkıştırma amacıyla karakterlerin kullanım sıklığına göre değişken uzunlukta kodlar üretir. En sık kullanılan karakterler daha kısa kodlarla temsil edilir ve bu sayede toplam bit sayısı azaltılır. Bu yaklaşım, greedy seçimin başarılı sonuç verdiği klasik örneklerden biridir.
Greedy Algoritmasının Avantajları Nelerdir?
Greedy algoritmalarının en büyük avantajı basit ve hızlı olmalarıdır. Uygulanması kolaydır ve çoğu zaman düşük zaman karmaşıklığı sunar. Bu nedenle zaman kısıtı olan problemlerde oldukça etkilidir.
Bir diğer avantajı, hesaplama maliyetinin düşük olmasıdır. Ekstra bellek kullanımı genellikle gerekmez ve karmaşık veri yapılarıyla çalışmaya ihtiyaç duyulmaz. Ayrıca matematiksel temelli olması, hatalı karar riskini belirli ölçüde azaltır.
Greedy algoritmaları; üretim, lojistik, finans, planlama ve kaynak yönetimi gibi pek çok sektörde maksimum verim elde etmek amacıyla kullanılabilir. Doğru problemde uygulandığında oldukça başarılı ve pratiktir.
Ancak unutulmaması gereken önemli bir nokta vardır: Greedy algoritmaları her zaman global optimum garanti etmez. Bu nedenle problem seçimi büyük önem taşır.
Greedy Algoritması ve Dinamik Programlama Karşılaştırması
Greedy algoritmalar ile dinamik programlama, her ikisi de optimizasyon problemlerinde kullanılan yaklaşımlardır ancak çalışma mantıkları oldukça farklıdır.
Greedy yaklaşımda her adımda yerel olarak en iyi seçim yapılır ve önceki kararlar geri alınmaz. Dinamik programlamada ise problem alt problemlere bölünür ve tüm olası çözümler değerlendirilerek global optimum elde edilir.
Dinamik programlama genellikle bottom-up (aşağıdan yukarıya) stratejiyle çalışırken, greedy algoritmalar çoğunlukla top-down (yukarıdan aşağıya) bir yaklaşım sergiler. Dinamik programlama, daha fazla bellek ve zaman gerektirirken greedy algoritmalar daha hızlıdır ancak her zaman en iyi sonucu garanti etmez. Bu nedenle yazılımcıların, problem yapısına göre hangi yaklaşımı kullanacaklarını iyi analiz etmeleri gerekir.
Greedy Algoritması, hızlı ve sezgisel çözümler sunan güçlü bir algoritma yaklaşımıdır. Ancak her problem için uygun değildir. Doğru yerde kullanıldığında oldukça etkilidir, yanlış yerde kullanıldığında ise yanıltıcı sonuçlar verebilir.

